
1 引言 某厂A1024A单臂四米龙门刨床,其电气系统由主拖动和控制系统两部分组成。电气主拖动系统是JF-D直流调速系统,电控部分采用继电逻辑控制系统。因已运行了三十多年,电气系统存在着严重的老化现象,设备...

JYN1-40.5移开式交流金属封闭高压开关柜,具有“五防”即:防止误操作断路器,防止带负荷推拉手车,防止带电挂接地线,防止带接地线送电,防止误入带电间隔功能。它适用于三相交流50Hz,额定电压35kV的配电系统中,...

高压开关柜分类 a)、按断路器安装方式分 按断路器安装方式分为移开式(手车式)和固定式 (1)、移开式或手车式(用Y表示):表示柜内的主要电器元件(如:断路器)是安装在可抽出的手车上的,由于手车柜有很好的...

1、电网电压等级对应的中压开关柜电压等级各是多少,为什么开关柜的电压要比对应的电网电压高(如35KV电网对应40.5KV开关柜),是如何计算出来的,有没有相关标准要求等规范(如国标等)? 6kv系统电压等级对应7.2kv开...

分析其原因高压开关柜故障原因,多发生在绝缘、导电和机械方面。 (一)拒动、误动故障 这种故障是高压开关柜最主要的故障,其原因可分为两类。一类是因操动机构及传动系统的机械故障造成,具体表现为机构卡涩,部...

一.引言 高低压开关柜是一种电气设备,外线先进入柜内主控开关,然后进入分控开关,各分路按其需要设置。如仪表,自控,电动机磁力开关,各种交流接触器等,有的还设高压室与低压室开关柜,设有高压母线,如发电厂...

高压无功补偿柜内电容器的保护主要是跌落式熔断器,装配在电容器高压接线柱上,当无功补偿系统发生故障时,故障电流使熔丝迅速熔断,并形成电弧,消弧管受电弧灼热,分解出大量的气体,使管内形成很高压力,并沿管道...

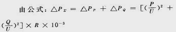
在低压输配电系统中经常用到电容无功补偿,但是电容放在哪里无功补偿的效果最好呢? 式中ΔP∑——电网总损耗kW ΔPP、ΔPQ——电网输送有功功率、无功功率时造成的有功损耗kW P、Q——有功功率、无功功率kW、...