地址:湖北省襄阳市江山南路6号
    Tel:13508660044
    E-mail:xfzhelec@163.com
低压电容无功补偿怎么选择
发布者:正涵电气 发布时间:2024-03-23 14:28:55 点击次数: 关闭
在低压输配电系统中经常用到电容无功补偿,但是电容放在哪里无功补偿的效果最好呢?



式中 ΔP∑——电网总损耗kW

ΔPP、ΔPQ——电网输送有功功率、无功功率时造成的有功损耗kW

P、Q——有功功率、无功功率kW、kvar

U、R——电网实际运行电压,线路等值电阻

得知当电网结构固定,输送的有功功率一定时ΔP∑的大小取决于Q的变化,即与Q的平方成正比。下面的表格表示了不同负荷功率因数下,电网需要输送的Q造成ΔP∑的变化。

负荷功率因数与电网输送的无功功率及功率损耗的关系:



从以上表中可以看出,当负荷功率因数cosφ低于0.7时,由于负荷所需要的无功功率Q大于有功功率P,负荷功率因数cosφ越低,负荷所需要的无功功率就越大,电网输送的无功功率及因此造成的有功功率损耗越大。因此为了减少电网输送的无功功率、降低电网中的有功功率损耗,在负荷功率因数cosφ较低的情况下(cosφ<0.8),必须在负荷点或电网中进行无功补偿,提高负荷功率因数,使电网的无功功率就地平衡。

一、就地无功补偿的优缺点

(一)优势

就地无功补偿,就是为了提高用电网负荷的功率因数,直接把低压电容器并联安装在变压器、电动机等感性电器设备上。这种安装方法的最大优点是:用电设备运行时无功补偿投入,用电设备停运时无功补偿退出。也不需频繁调整补偿电容量。具有投资少、占位小、重量轻、安装容易、配置方便灵活、维护简单、事故率少、无需专人看管等优点。

(二)不足之处

就地无功补偿,虽然有许多优点值得我们去利用,但也有它的不足之处:(1)不能自动投切,这是就地无功补偿与电容无功补偿自动投切装置相比的主要缺点,它不能象自动投切装置那样,随时按供电网络中的功率因数的变化改变电容器投切数量来平衡无功功率。(2)停运时反向送电,由于就地补偿是把电容器直接并联在用电设备上,所以当用电设备被切断电源后的暂态进程中,电容反向用电设备放电,如果补偿电容选择不合理,会出现“过电压”,可能损坏用电设备和电容。因此,选择电容器补偿容量时,一定要科学合理。对频繁起动的用电设备,特别是电动机,就更应注意过电压的危害。

二、安装就地无功补偿应注意事项

(-)并联电容器容量的选择

并联电容器补偿电机时,其容量的选择应按下面公式进行计算



式中 Ue——电机额定电压kV

I0——空载电流A

对于用量最多的每分钟1500转和3000转的电机用额定容量(kW)30%士0.5(kvar)的估算方法,可迅速简便地求出所需补偿电容的容量。以30kW电机为标准,如果电机容量小于30kW的每台增加 0.5kvar。容量大于30kW的每台就减少0.5kvar。

下面列出经过公式计算的各种单台电机所需补偿电容容量表:



(二)并联电容器的接线

(1)线径的选择,连接补偿电容器的接线线径大小必须根据电容器额定电流的大小来选择。电容器的额定电流是:



式中 IC——电容器额定电流A

QC——电容器额定功率kvar

Ue——电容器额定电压kV

电容器的额定电流也可用估算的办法来计算,即1kvar相当于2A,这个数比实际电流略大。

(2)接线办法:对于10kvar以下的小电容器如果单台接线,可把线直接接在电容器的接线柱上,而对于10kvar以上的较大容量的电容器,必须采用接线卡连接,因这类电容器的额定电流都在20A以上,导线较粗,特别是采用电缆接线.毛刺较多,电容器的接线柱距离又都很近,往往容易造成放电短路损坏设备。

(3)并联电容器不能放置在过热、漏雨、滴水、易挤、易压、易砸和妨碍交通的地方,也不能放置得离补偿设备太远的地方,以免造成不必要的损失。

三、就地无功补偿的节能效益

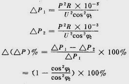
安装防机随器电容补偿后可提高功率因数,降低可变损耗,当功率因数由coaφ1提高到cosφ2时,可变损耗降低的百分数可由下式求得:



由上式可计算出功率因数由cosφ1提高到cosφ2时对降低可变损耗的效益。

某厂目前投放低压无功补偿电容370只4440kvar,每年可节电177.7万kW· h。安装就地电容无功补偿后,还可减少设备容量,提高线路输送功率的能力,使超载的变压器不再超载,使需要增容的变压器也可能不需增容,经济效益很好。