
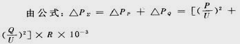
在低压输配电系统中经常用到电容无功补偿,但是电容放在哪里无功补偿的效果最好呢? 式中ΔP∑——电网总损耗kW ΔPP、ΔPQ——电网输送有功功率、无功功率时造成的有功损耗kW P、Q——有功功率、无功功率kW、...

在我国,电机所耗电能占整个工业用电的60%~68%,电机等感性负载所引起的无功损耗是电网无功损耗的主要来源,而大中型电机又是许多工矿企业的主要用电设备,因此,如何减少大中型电机造成的无功损耗成为许多工业企业...

一种以硅单晶为基本材料的P1N1P2N2四层三端器件,创制于1957年,由于它特性类似于真空闸流管,所以国际上通称为硅晶体闸流管,简称晶闸管T。又由于晶闸管最初应用于可控整流方面所以又称为硅可控整流元件,简称为可...

一、可控硅的概念和结构? 晶闸管又叫可控硅。自从20世纪50年代问世以来已经发展成了一个大的家族,它的主要成员有单向晶闸管、双向晶闸管、光控晶闸管、逆导晶闸管、可关断晶闸管、快速晶闸管,等等。今天大家使用...

在中频炉中整流侧关断时间采用KP-60微秒以内,逆变侧关短时间采用KK-30微秒以内这也是KP管与KK管的主要区别. 晶闸管T在工作过程中,它的阳极A和阴极K与电源和负载连接,组成晶闸管的主电路,晶闸管的门极G和阴极K与...

可关断晶闸管GTO(GateTurn-OffThyristor)亦称门控晶闸管。其主要特点为,当门极加负向触发信号时晶闸管能自行关断。 前已述及,普通晶闸管(SCR)靠门极正信号触发之后,撤掉信号亦能维持...

电力电子技术的发展方向之一是工作频率越来越高,从以前的工频(50HZ、60HZ)、中频(数百HZ到一千多HZ),到现在的高频(数千HZ以上)。出现了开关电源、逆变焊机、变频器等许多新品,他们的出现,充分展示了电力电子新技...

无功功率补偿的目的是提高功率因数,降低无功损耗,在进行新厂矿的电气设计时,首先要对用电网络进行负荷计算,然后根据负荷计算情况,进行无功功率补偿,选择相应的补偿方法,选择补偿器。 1、最大负荷补偿计算法 &...